ÁÖ¼® 22¹ø¿¡´Â Åë°èÇÐ ±³°ú¼¸¦ º¸°í Ç®¾îº¸¶ó°í µÇ¾îÀִµ¥
ÀÌ Á¤µµ¸é ¼öÇÐ³ëÆ®¿¡´Ù°¡ ³ÖÀ¸¼Åµµ µÉ °ÍÀ̶ó°í »ý°¢µË´Ï´Ù
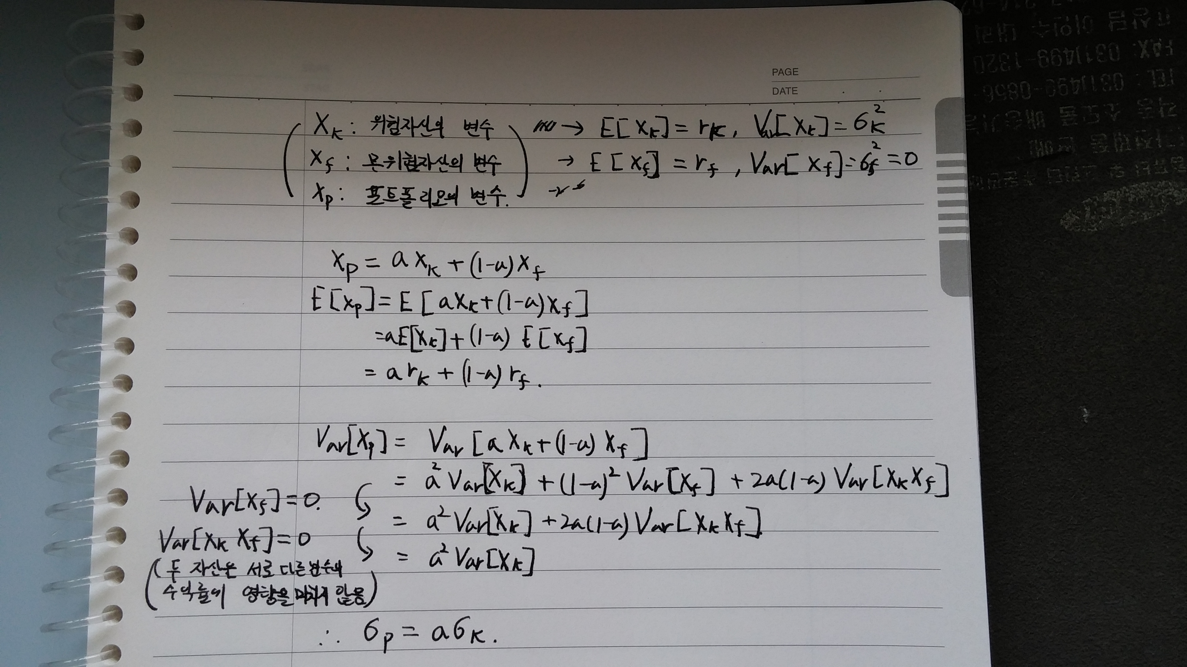
±×¸®°í À¯µµ°úÁ¤¿¡¼
Var[Xf Xk]=0ÀÌ µÇ´Â ÀÌÀ¯ Á¤µµ´Â
ÁÖ¼®¿¡ Á÷°üÀûÀ¸·Î ¼³¸íÇØÁÖ½Ã¸é ´õ ÁÁ¾ÒÀ» °ÍÀ̶ó »ý°¢ÇÕ´Ï´Ù
ÀÌ Á¤µµ¸é ¼öÇÐ³ëÆ®¿¡´Ù°¡ ³ÖÀ¸¼Åµµ µÉ °ÍÀ̶ó°í »ý°¢µË´Ï´Ù
±×¸®°í À¯µµ°úÁ¤¿¡¼
Var[Xf Xk]=0ÀÌ µÇ´Â ÀÌÀ¯ Á¤µµ´Â
ÁÖ¼®¿¡ Á÷°üÀûÀ¸·Î ¼³¸íÇØÁÖ½Ã¸é ´õ ÁÁ¾ÒÀ» °ÍÀ̶ó »ý°¢ÇÕ´Ï´Ù

